Bilan 2ème semestre 2025 GD au 31.12.2025
Publié le 06/01/2026
BILAN SEMESTRIEL S2 2025 DU CONTRAT DE LIQUIDITE CONTRACTE AVEC LA SOCIETE DE BOURSE GILBERT DUPONT
Au titre du contrat de liquidité confié par la société CATERING INTERNATIONAL & SERVICES à la Société de Bourse Gilbert Dupont, à la date du 31 décembre 2025, les moyens suivants figuraient au compte de liquidité :
– Nombre d’actions : 33 492
– Solde en espèces du compte de liquidité : 304 609 €

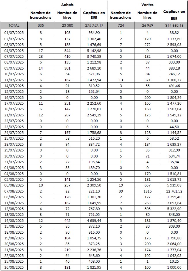
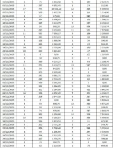
Au cours du 2ème semestre 2025, il a été négocié un total de :
Il est rappelé que lors du bilan semestriel du 30 juin 2025, les moyens suivants figuraient au compte de liquidité :
– Nombre d’actions : 37 071
– Solde en espèces du compte de liquidité : 265 698 €
Il est rappelé que lors de la mise en place du contrat de liquidité avec la Société de Bourse Gilbert Dupont, le 17 novembre 2006, les moyens suivants ont été mis à disposition :
– Nombre d’actions : 2 595
– Solde en espèces du compte de liquidité : 141 385 €
À propos de CIS
CIS, créé en 1992 par Régis Arnoux, Fondateur et Président du Groupe, assure la gestion de bases-vie aux quatre coins du monde, dans les environnements onshore et offshore les plus isolés. CIS accompagne les acteurs majeurs des secteurs de l’énergie, des mines, de la construction et des institutions et gouvernements à chaque étape de leurs projets.
En tant qu’intégrateur de services, CIS offre des solutions clés en main pour apporter bien-être, confort et convivialité à l’ensemble de ses résidents, et permettre à ses clients de se concentrer sur leurs activités spécifiques.
Le Groupe s’engage dans le développement durable des pays dans lesquels il est implanté, en recrutant et en formant ses collaborateurs, en tissant des partenariats avec des fournisseurs proches de ses sites et en s’impliquant dans des initiatives sociétales locales.
CIS adopte une approche proactive axée sur l’innovation et l’amélioration continue pour réduire son impact sur l’environnement. Le Groupe oeuvre chaque jour pour faire évoluer ses pratiques et garantir sa transparence.
Euronext Growth Paris : ISIN FR0000064446 / Reuters : ALCIS.PA – Bloomberg : ALCIS:FP



Pour mieux nous connaitre
Pour toute demande d’information sur le groupe et ses filiales, nos résultats, nos services et solutions, nos métiers, nous rejoindre, être investisseur, nos relations presse ou autre demande.
CONTACTEZ-NOUS